基本信息:
中文名称 四乙基氢氧化铵
中文别名 四乙基氢氧化铵(TEAH);氢氧化四乙基铵;四乙基氢氧化;N,N,N-三乙基乙铵氢氧化物;
英文名称 Tetraethylammonium hydroxide
英文别名 tetraethyl-ammoniuhydroxide;Tetraethylammoniumhydroxides;Tetraethylazanium hydroxide;Tetraethylammonium h;IPC-TEA-OH;TENOH;TEA HYDROXIDE;
CAS号 77-98-5
合成路线:
1.通过四乙基溴化铵合成四乙基氢氧化铵,收率约75%;

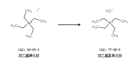
2.通过四乙基碘化铵合成四乙基氢氧化铵

合成路线仅供参考