基本信息:
中文名称 2-(二乙基氨基)噻唑-5-甲醛
英文名称 2-(Diethylamino)thiazole-5-carboxaldehyde
英文别名 2-(diethylamino)-1,3-thiazole-5-carbaldehyde;
CAS号 92940-24-4
合成路线:
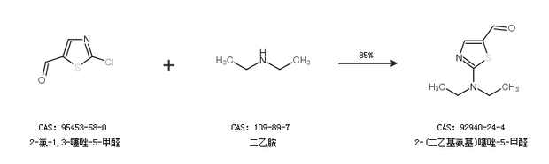
1.通过2-氯-1,3-噻唑-5-甲醛和二乙胺合成2-(二乙基氨基)噻唑-5-甲醛,收率约85%;

2.通过2-氯噻唑和N,N-二乙基甲酰胺合成2-(二乙基氨基)噻唑-5-甲醛

中华试剂网提醒:合成路线仅供参考