基本信息:
中文名称 苯基异丙基硫醚
中文别名 2-异丙基苯基苯硫醚;异丙基苯硫醚;
英文名称 propan-2-ylsulfanylbenzene
英文别名 Isopropyl phenyl sulphide;phenyl isopropyl sulfide;i-propyl phenyl sulfide;Sulfide,isopropyl phenyl;Isopropyl phenyl sulfide;ISOPROPYLTHIOBENZENE;
CAS号 3019-20-3
合成路线:
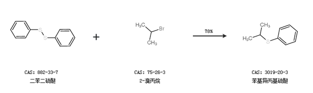
1.通过二苯二硫醚和2-溴丙烷合成苯基异丙基硫醚,收率约78%;

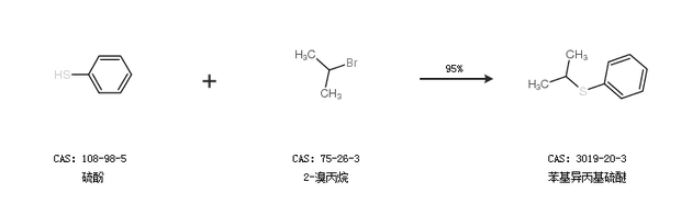
2.通过硫酚和2-溴丙烷合成苯基异丙基硫醚,收率约95%;

中华试剂网提醒:合成路线仅供参考