基本信息:
中文名称 3-羟基金刚烷-1-乙酸
中文别名 1-(羰甲基)-3-羟基金刚烷;3-羟基-1-金刚烷乙酸;
英文名称 2-(3-hydroxy-1-adamantyl)acetic acid
英文别名 3-carboxymethyl-1-adamantanol;3-Hydroxyadamantane-1-acetic acid;3-Carboxymethyladamantan-1-ol;5-hydroxy-2-adamantyl acetic acid;1-(Carboxymethyl)-3-hydroxyadamantane;3-Hydroxyadamantane-1-aceticacid;3-Hydroxy-1-adamantaneacetic Acid;
CAS号 17768-36-4
合成路线:
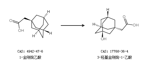
1.通过1-金刚烷乙酸合成3-羟基金刚烷-1-乙酸

2.通过1-溴金刚烷合成3-羟基金刚烷-1-乙酸

合成路线仅供参考