基本信息:
中文名称 2,4-二氨基-6-硝基喹唑啉
英文名称 6-nitroquinazoline-2,4-diamine
英文别名 2,3-DINOR-6-KETOPROSTAGLANDIN F1A;6-nitro-2,4-diaminoquinazoline;6-nitro-2,4-quinazolinediamine;2,4-Diamino-6-nitroquinazoline;6-nitro-quinazoline-2,4-diamine;
CAS号 7154-34-9
合成路线:
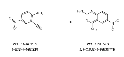
1.通过2-氰基-4-硝基苯胺和碳酸胍合成2,4-二氨基-6-硝基喹唑啉,收率约87%;

2.通过2-氰基-4-硝基苯胺合成2,4-二氨基-6-硝基喹唑啉

中华试剂网提醒:合成路线仅供参考