基本信息:
中文名称 4-(4-甲基哌嗪)苯胺
中文别名 4-(4-甲基-1-哌嗪基)苯胺;1-(4-氨基苯基)-4-甲基哌嗪;4-(N-甲基哌嗪)苯胺;
英文名称 4-(4-Methylpiperazino)aniline
英文别名 4-(4-Methylpiperazino)Aniline;4-(4-Methylpiperazin-1-yl)phenylamine;4-(4-methylpiperazin-1-yl)aniline;4-(4-Methyl-1-piperazinyl)aniline;1-(4-Aminophenyl)-4-methylpiperazine;
CAS号 16153-81-4
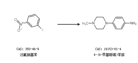
合成路线:
1.通过1-甲基-4-(4-硝基苯基)哌嗪合成4-(4-甲基哌嗪)苯胺,收率约99%;

2.通过对氟硝基苯合成4-(4-甲基哌嗪)苯胺

合成路线仅供参考