基本信息:
中文名称 5-(4-苯腈)-2-糠酸甲酯
中文别名 5-(4-氰苯基)呋喃-2-羧酸甲酯;5-(4-氰基苯基)呋喃-2-羧酸甲酯;
英文名称 methyl 5-(4-cyanophenyl)furan-2-carboxylate
英文别名 AMTDA002;methyl 5-(4-cyanophenyl)-2-furoate;5-(4-cyanophenyl)furan-2-carboxylic acid methyl ester;
CAS号 834884-75-2
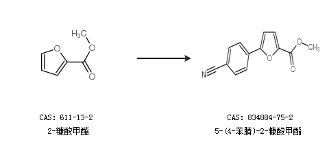
合成路线:
1.通过2-糠酸甲酯合成5-(4-苯腈)-2-糠酸甲酯

中华试剂网提醒 合成路线仅供参考