基本信息:
中文名称 2-溴噻唑-5-羧酸
中文别名 2-溴-5-羧基噻唑;2-溴-1,3-噻唑-5-羧酸;2-溴噻唑-5-甲酸;
英文名称 2-Bromo-5-thiazolecarboxylic acid
英文别名 2-BROMOTHAIZOLE-5-CARBOXYLIC ACID;2-Brom-thiazol-5-carbonsaeure;2-BROMOTHIAZOLE-5-CARBOXYLIC ACID;2-BROMO-1,3-THIAZOLE-5-CARBOXYLIC ACID;2-Bromothiazole-5-carboxylic Acid;2-BROMO-5-THLAZOLECARBOXYLIC ACID;RARECHEM AL BE 1435;2-bromothiazole-5-carboxylate;
CAS号 54045-76-0
合成路线:
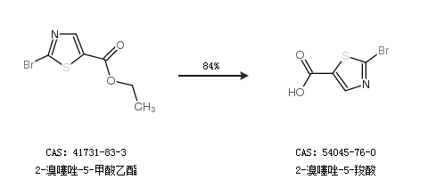
1.通过2-溴噻唑-5-甲酸乙酯合成2-溴噻唑-5-羧酸,收率约84%;

中华试剂网提醒:合成路线仅供参考