基本信息:
中文名称 2-氨基-6-溴苯并噻唑
中文别名 6-溴-2-氨基苯并噻唑;2-氨基-6-溴苯;
英文名称 2-Amino-6-bromobenzothiazole
英文别名 6-Bromobenzo[d]thiazol-2-amine;6-bromo-1,3-benzothiazol-2-amine;2-Amino-6-Bromobenzothiazole;
CAS号 15864-32-1
合成路线:
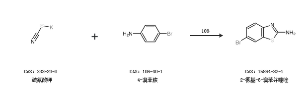
1.通过硫氰酸钾和4-溴苯胺合成2-氨基-6-溴苯并噻唑,收率约10%;

2.通过1-(4-溴苯基)-2-硫代脲合成2-氨基-6-溴苯并噻唑,收率约72%;

中华试剂网提醒:合成路线仅供参考