基本信息:
中文名称 4-三氟甲基-2-氨基嘧啶
中文别名 2-氨基-4-(三氟甲基)嘧啶;2-氨基-4-三氟甲基嘧啶;
英文名称 2-Amino-4-(trifluoromethyl)pyrimidine
英文别名 2-Amino-4-(Trifluoromethyl)Pyrimidine;4-(trifluoromethyl)pyrimidin-2-amine;4-(Trifluoromethyl)pyrimidin-2-amine;
CAS号 16075-42-6
合成路线:
1.通过2-氨基-5-溴-4-三氟甲基嘧啶和联硼酸频那醇酯合成4-三氟甲基-2-氨基嘧啶

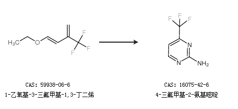
2.通过1-乙氧基-3-三氟甲基-1,3-丁二烯合成4-三氟甲基-2-氨基嘧啶

合成路线仅供参考