基本信息:
中文名称 5-溴-2-甲氧基嘧啶
中文别名 2-甲氧基-5-溴嘧啶;5-溴-2-甲氧基基嘧啶;2-甲氧基-5-溴嘧啶;
英文名称 5-Bromo-2-methoxypyrimidine
英文别名 2-methoxy-5-bromopyrimidine;Bromomethoxypyrimidine;2-Methoxy-5-brom-pyrimidin;5-BroMo-2-MethoxypyriMidine;5-bromo-2-methoxy-pyrimidine;5-BROMO-2-METHOXYPYRIMIDINE 97;
CAS号 14001-66-2
合成路线:
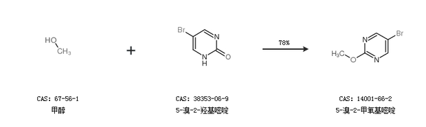
1.通过甲醇和5-溴-2-羟基嘧啶合成5-溴-2-甲氧基嘧啶,收率约78%;

2.通过甲醇和2,5-二溴嘧啶合成5-溴-2-甲氧基嘧啶,收率约81%;

合成路线仅供参考