基本信息:
中文名称 9-(1H-苯并三唑-1-基甲基)-9H-咔唑
中文别名 9-(1H-苯并三唑甲基)-9H-咔唑;
英文名称 9-(1<i>H</i>-Benzotriazol-1-ylmethyl)-9<i>H</i>-carbazole
英文别名 9-(benzotriazol-1-ylmethyl)carbazole;9-(1H-Benzotriazol-1-ylmethyl)-9H-carbazole;
CAS号 124337-34-4
合成路线:
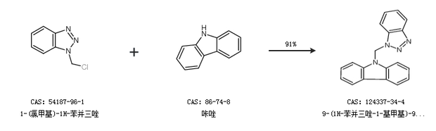
1.通过1-(氯甲基)-1H-苯并三唑和咔唑合成9-(1H-苯并三唑-1-基甲基)-9H-咔唑,收率约91%;

2.通过咔唑合成9-(1H-苯并三唑-1-基甲基)-9H-咔唑,收率约80%;

中华试剂网提醒 合成路线仅供参考