基本信息:
中文名称 1,3,4,6-四-O-乙酰基-2-叠氮-2-脱氧-Β-D-吡喃葡萄糖
中文别名 1,3,4,6-四-O-乙酰基-2-叠氮-2-脱氧-β-D-吡喃葡萄糖;1,3,4,6-四-o-乙酰基-2-叠氮基-2-脱氧-beta-d-吡喃葡萄糖;1,3,4,6-四-O-乙酰基-2-叠氮-2-脱氧-Beta-D-吡喃葡萄糖;2-叠氮-β-D-葡萄糖四乙酸酯;
英文名称 1,3,4,6-Tetra-O-acetyl-2-azido-2-deoxy-beta-D-glucopyranose
英文别名 1,3,4,6-Tetra-O-acetyl-2-azido-2-deoxy-b-D-glucopyranose;
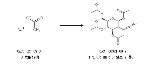
CAS号 80321-89-7
合成路线:
1.通过甘露糖三氟磺酸酯合成1,3,4,6-四-O-乙酰基-2-叠氮-2-脱氧-Β-D-吡喃葡萄糖,收率约85%;

2.通过无水醋酸钠合成1,3,4,6-四-O-乙酰基-2-叠氮-2-脱氧-Β-D-吡喃葡萄糖

合成路线仅供参考