基本信息:
中文名称 6-溴-2-苯并噻唑啉酮
中文别名 2(3H)-6-溴苯并噻唑酮;6-溴-2(3h)-苯并噻唑酮;
英文名称 6-Bromo-2-benzothiazolinone
英文别名 6-bromo-3H-1,3-benzothiazol-2-one;
CAS号 62266-82-4
合成路线:
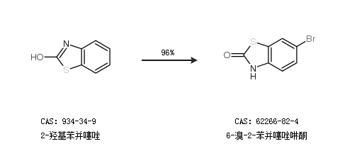
1.通过2-羟基苯并噻唑合成6-溴-2-苯并噻唑啉酮,收率约96%;

2.通过4 -溴- 2 - 碘苯甲胺和N,N-二甲基甲酰胺合成6-溴-2-苯并噻唑啉酮,收率约52%;

合成路线仅供参考