基本信息:
中文名称 三乙酰氧基乙基硅烷
中文别名 三乙酰氧基(乙基)硅烷;乙基三乙酰氧基硅烷;乙基硅三醇三乙酸乙酯;乙基三乙酰氧硅烷;
英文名称 Triacetoxyethylsilane
英文别名 Ethyltriacetoxysilane;[diacetyloxy(ethyl)silyl] acetate;Triacetoxy(Ethyl)Silane;(Triacetoxy)ethylsilane;
CAS号 17689-77-9
合成路线:
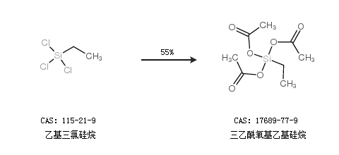
1.通过乙基三氯硅烷合成三乙酰氧基乙基硅烷,收率约55%;

2.通过3-二甲胺基乙基硅烷合成三乙酰氧基乙基硅烷

合成路线仅供参考