基本信息:
中文名称 3,6-二叔丁基咔唑
中文别名 3,6-双(叔丁基)咔唑;9H-咔唑,3,6-双(1,1-二甲基乙基);
英文名称 3,6-Di-tert-butylcarbazole
英文别名 3,6-ditert-butyl-9H-carbazole;3,6-Di-tert-butyl-9H-carbazole;3,6-BIS(TERT-BUTYL)CARBAZOLE;
CAS号 37500-95-1
合成路线:
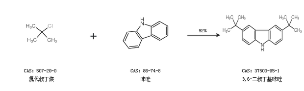
1.通过氯代叔丁烷和咔唑合成3,6-二叔丁基咔唑,收率约92%;

2.通过氯代叔丁烷、咔唑和氯化锌合成3,6-二叔丁基咔唑,收率约44%;

中华试剂网提醒:合成路线仅供参考