基本信息:
中文名称 5-单硝酸异山梨酯
中文别名 单硝异山梨酯;单硝基异山梨酯;3,6-二脱水-D-山梨糖醇-5-硝酸酯;5-硝酸异山梨酯;异山梨醇5-单硝酸酯;
英文名称 isosorbide mononitrate
英文别名 ISMN;5-ismn;Isosorbide mononitrate;Isosorbide 5-Nitrate;1,4:3,6-Dianhydro-D-glucitol 5-nitrate;IS-5-MN;Ismo;ELAN;Isosorbide 5-mononitrate;Momt;isosorbide-5-mononitrate;1,4:3,6-dianhydro-D-glucitol-5-nitrate;ahr4698;Isosorbide 5-Mononitrate;Coronu;IMDUR;isosorbide nitrate;ELANTAN;
CAS号 16051-77-7
合成路线:
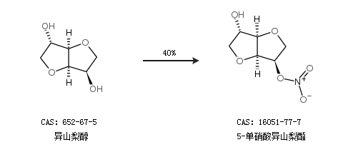
1.通过异山梨醇合成5-单硝酸异山梨酯,收率约40%;

2.通过硝酸异山梨酯合成5-单硝酸异山梨酯,收率约69%;

合成路线仅供参考