基本信息:
中文名称 1-金刚烷硫脲
中文别名 1-(1-金刚烷基)硫脲;
英文名称 1-ADAMANTYLTHIOUREA
英文别名 adamantan-1-yl-thiourea;1-(1-adamantyl)-2-thiourea;(1-Adamantyl)-thioharnstoff;Adamantyl(1)-thioharnstoff;1-adamantan-1-ylthiourea;F3195-0085;N-(1-Adamantyl)thiourea;
CAS号 25444-82-0
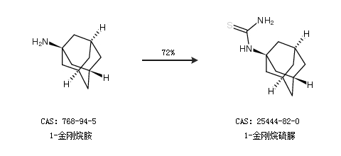
合成路线:
1.通过硫氰酸钾和盐酸金刚烷胺合成1-金刚烷硫脲,收率约73%;

2.通过1-金刚烷胺合成1-金刚烷硫脲,收率约72%;

合成路线仅供参考