基本信息:
中文名称 2-溴-9,9''-螺二芴
中文别名 2-溴-9,9’-螺二芴;2-溴-9,9''-螺二[9H-芴];
英文名称 2-Bromo-9,9''-spirobifluorene
英文别名 2-BroMo-9,9''-spirobi[9H-fluorene];2-Bromo-9,9''-spirobi[fluorene];2-bromo-9,9''-spirobi[fluorene];2-Bromo-9,9-Spirobi[9H-Fluorene];
CAS号 171408-76-7
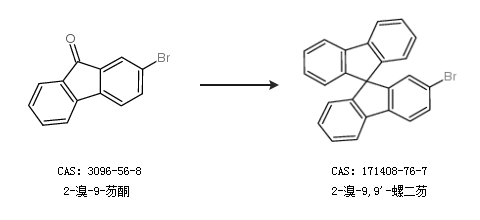
合成路线:
1.通过2-溴-9-芴酮和2-联苯基溴化镁合成2-溴-9,9''-螺二芴

2.通过2-溴-9-芴酮合成2-溴-9,9''-螺二芴

中华试剂网提醒 合成路线仅供参考