基本信息:
中文名称 二乙基二硫代氨基甲酸铜
中文别名 二乙基二硫羰氨酸铜盐;
英文名称 Copper Diethyldithiocarbamate
英文别名 Copper,bis(diethylcarbamodithioato-kS,kS'')-, (SP-4-1)- (9CI);Diethyldithiocarbamic Acid Copper Salt;Copper DiethyldithiocarbaMate;
CAS号 13681-87-3
合成路线:
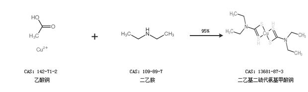
1.通过乙酸铜和二乙胺合成二乙基二硫代氨基甲酸铜,收率约95%;

2.通过二乙胺荒酸钠合成二乙基二硫代氨基甲酸铜

合成路线仅供参考