基本信息:
中文名称 2,4-二氟异硫氰酸苯酯
中文别名 异硫氰酸2,4-二氟苯酯;2,4-二氟苯异硫氰酸酯;2,4-二氟苯基异硫氰酸酯;
英文名称 2,4-Difluorophenyl Isothiocyanate
英文别名 2,4-difluoro-1-isothiocyanatobenzene;2,4-Difluorophenyl isothiocyanate;Isothiocyanic Acid 2,4-Difluorophenyl Ester;
CAS号 141106-52-7
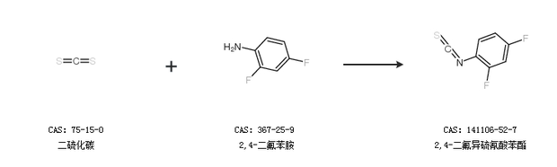
合成路线:
1.通过2,4-二氟苯胺合成2,4-二氟异硫氰酸苯酯

2.通过二硫化碳和2,4-二氟苯胺合成2,4-二氟异硫氰酸苯酯

合成路线仅供参考