基本信息:
中文名称 5,6-二氨基-1-甲基尿嘧啶
中文别名 6-二氨基-1-甲基尿嘧啶;5,6-二氨基-1-甲基-2,4-(1H,3H)嘧啶二酮;
英文名称 5,6-Diamino-1-methyluracil
英文别名 5,6-diamino-1-methylpyrimidine-2,4-dione;
CAS号 6972-82-3
合成路线:
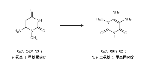
1.通过6-氨基-1-甲基尿嘧啶合成5,6-二氨基-1-甲基尿嘧啶

2.通过6-氨基-1-甲基尿嘧啶合成5,6-二氨基-1-甲基尿嘧啶

中华试剂网提醒 合成路线仅供参考