基本信息:
中文名称 1-甲基黄嘌呤
中文别名 1-甲基化黄嘌呤衍生物;2,6-二羟基-1-甲基嘌呤;3,7-二氢-1-甲基-1H-嘌呤-2,6-二酮;
英文名称 1-methyl-7H-xanthine
英文别名 1-Methyl Xanthine;1-methyl-3,7-dihydropurine-2,6-dione;
CAS号 6136-37-4
合成路线:
1.通过6-氨基-3-甲基尿嘧啶合成1-甲基黄嘌呤

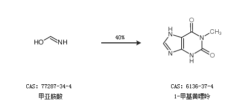
2.通过甲亚胺酸合成1-甲基黄嘌呤,收率约40%;

中华试剂网提醒:合成路线仅供参考