基本信息:
中文名称 5-氨基-3-苯基异噁唑
中文别名 5-氨基-3-苯基异恶唑;3-苯基-5-氨基异噁唑;
英文名称 5-Amino-3-phenylisoxazole
英文别名 3-phenyl-1,2-oxazol-5-amine;3-PHENYL-5-ISOXAZOLAMINE;3-Phenylisoxazol-5-amine;
CAS号 4369-55-5
合成路线:
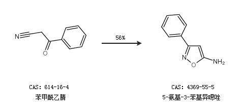
1.通过苯甲酰乙腈合成5-氨基-3-苯基异噁唑,收率约56%;

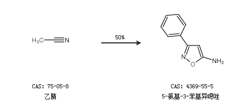
2.通过乙腈合成5-氨基-3-苯基异噁唑,收率约50%;

中华试剂网提醒 合成路线仅供参考