你好,欢迎来到中华试剂网 购试剂 买耗材! [请登录][注册有惊喜]

货号快速下单 | 签到送积分   | 会员中心 | 客服热线:400-021-2765

1,2,3-噻重氮-4-羧酸乙酯,3989-36-4,结构式

1,2,3-噻重氮-4-羧酸乙酯

CasNo:3989-36-4 MDL:MFCD00052100 分子式:C5H6N2O2S 分子量:158.18

小程序

化学试剂

所有产品仅用作科学研究和企业生产,我们不为任何个人用途提供产品和服务
收起
  品牌 货号 品名 规格纯度 包装 库存 牌价含税 成交价 购买量 操作
loading
点击加载更多
加载完成
声明
1、因厂家会在没有任何提前通知的情况下更改产品价格、包装、产地或者一些附件,若出现价格异常请以厂家官网价格为准,本司不能确保客户收到的货物与商城图片、产地、附件说明完全一致,只能确保为原厂正货!并且保证与当时市场上同样主流新品一致。若本商城没有及时更新,请大家谅解!
2、商品信息标注“一般危化品”“危化”的商品,如需购买需提供一般危化品购买资质。
3、仅可用于工业或者科研等非医疗目的。买卖双方确认:依照中国法律法规之规定,本网站销售的所有产品仅用于工业应用或者科学研究等非医疗目的,不可用于人类或动物的临床诊断或治疗,非药用,非食用。我们特此明示提醒:您应严格恪守上述规定,不得超越正常的科研或教学目的而违规使用产品,否则由此造成的一切后果均应由您承担;若我们因此遭受任何损失的,您也应负责对我们做出赔偿。
我要委托采购 3989-36-4 产品

用户需要登录成功才能进行委托采购!
牌试剂可在下方直接购买,如需大包装可发起委托采购。

*收货区域
*发票类型
*需求量1
*需求量2
备注

基本信息物化性质安全数据

CAS:3989-36-4
中文名:1,2,3-噻重氮-4-羧酸乙酯
英文名:Ethyl 1,2,3-thiadiazole-4-carboxylate
中文别名:
1,2,3-噻重氮-4-羧酸乙酯
1,2,3-噻重氮-4-甲酸乙酯

英文别名:

技术问答

1,2,3-噻重氮-4-羧酸乙酯的合成路线匿名 2021-04-26 17:08
描述:1,2,3-噻重氮-4-羧酸乙酯是什么,有什么方法可以合成?
基本信息:
中文名称 1,2,3-噻重氮-4-羧酸乙酯
中文别名 1,2,3-噻二唑-4-羧酸乙酯;
英文名称 Ethyl 1,2,3-thiadiazole-4-carboxylate
英文别名 ethyl thiadiazole-4-carboxylate;
CAS号 3989-36-4

合成路线:
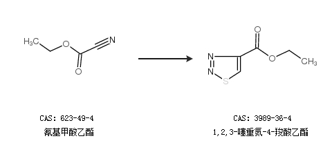
1.通过氰基甲酸乙酯合成1,2,3-噻重氮-4-羧酸乙酯


2.通过1,2,3-噻重氮-4-羧酸和乙醇合成1,2,3-噻重氮-4-羧酸乙酯


中华试剂网提醒:合成路线仅供参考
展开

原料询价

询单已收到,专属客服稍后会联系您!

您还可以登录后台“查看询单

此商品已成功添加到购物车
此商品已成功添加到购物车!