基本信息:
中文名称 5-氮杂吲哚
中文别名 1H-吡咯并[3,2-C]吡啶;1H-吡咯并[3,2-c]吡啶;1H-吡咯并[3,2-c]吡啶;5-杂氮吲哚;
英文名称 1H-pyrrolo[3,2-c]pyridine
英文别名 5-azaindole;HARMYRINE;pyrrolo<3,2-c>pyridine;1,6-DIAZAINDENE;1,5-DIAZAINDENE;3,7-DIDEAZAPURINE;1H-Pyrrolo[3,2-c]pyridine;5-Aza-1H-indole;
CAS号 271-34-1
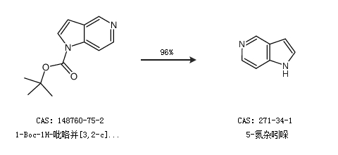
合成路线:
1.通过1-Boc-1H-吡咯并[3,2-c]吡啶合成5-氮杂吲哚,收率约96%;

2.通过3-甲基-4-硝基吡啶-N-氧化物和N,N-二甲基甲酰胺二乙基缩醛合成5-氮杂吲哚

合成路线仅供参考