基本信息:
中文名称 3-苯基-5-异噁唑酮
中文别名 3-苯基-5(4H)-异恶唑酮;
英文名称 3-PHENYL-5-ISOXAZOLONE
英文别名 3-PHENYL-4,5-DIHYDROISOXAZOL-5-ONE;3-Phenyl-5-isoxazolone;3-PHENYL-5-ISOXAZOLON;3-PHENYLISOXAZOL-5-ONE;3-Phenyl-5(4H)-isoxazolone;3-phenyl-4,5-dihydro-1,2-oxazol-5-one;3-Phenyl-2-isoxazolin-5-one;3-Phenylisoxazol-5(4H)-one;3-phenyl-4H-isoxazol-5-one;5(4H)-ISOXAZOLONE,3-PHENYL-;
CAS号 1076-59-1
合成路线:
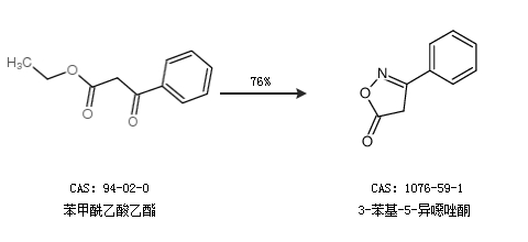
1.通过苯甲酰乙酸乙酯合成3-苯基-5-异噁唑酮,收率约76%;

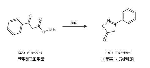
2.通过苯甲酰乙酸甲酯合成3-苯基-5-异噁唑酮,收率约40%;

中华试剂网提醒:合成路线仅供参考