基本信息:
中文名称 5-氯代苯并三氮唑
中文别名 5-氯苯并三氮唑;5-氯-1;5-氯苯并三唑;5-氯-1,3-硫氮杂茚;5-氯代苯并TRIAZOLE;
英文名称 5-Chlorobenzotriazole
英文别名 6-Chloro-1H-benzotriazole;5-chloro-1h-benzotriazol;5-chloro-1H-Benzotriazole;5-Chloro-1,2,3-benzotriazole;1H-Benzotriazole,5-chloro;5-Cl-benzotriazole;5-CHLOROBENZTRIAZOLE;
CAS号 94-97-3
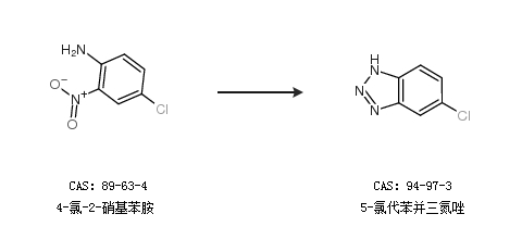
合成路线:
1.通过4-氯-1,2-苯二胺合成5-氯代苯并三氮唑,收率约85%;

2.通过4-氯-2-硝基苯胺合成5-氯代苯并三氮唑

合成路线仅供参考