基本信息:
中文名称 喹喔啉
中文别名 对二氮杂萘;喹诺西林;1,4-二氮萘;苯并吡嗪;苯并哔嗪;
英文名称 quinoxaline
英文别名 Phenopiazine;Quinazine;1,4-Benzodiazine;Phenpiazine;Benzoparadiazine;1,4-Diazanaphthalene;Quinoxaline;Benzopyrazine;
CAS号 91-19-0
合成路线:
1.通过1,2-苯二胺合成喹喔啉,收率约97%;

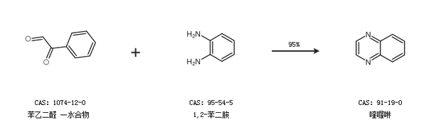
2.通过苯乙二醛 一水合物和1,2-苯二胺合成喹喔啉,收率约95%;

合成路线仅供参考