基本信息:
中文名称 3,5-二氯苯腈
中文别名 3,5-二氯苯甲腈;
英文名称 3,5-Dichlorobenzonitrile
英文别名 Benzonitrile,3,5-dichloro;3,5-Dichlor-benzonitril;3,5-Dichloro-benzonitrile;3,5-dichlorobenzenecarbonitrile;3,5-Dichloro-1-benzonitrile;dichlorobenzonitrile;
CAS号 6575-00-4
合成路线:
1.通过3,5-二氯-1-溴苯合成3,5-二氯苯腈,收率约72%;

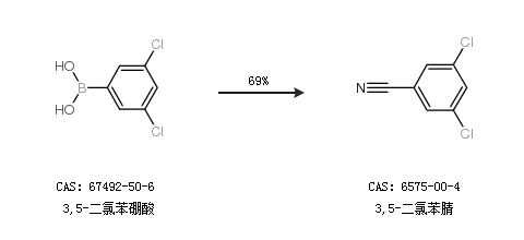
2.通过3,5-二氯苯硼酸合成3,5-二氯苯腈,收率约69%;

合成路线仅供参考