基本信息:
中文名称 4''-氨基-4-氰基联苯
中文别名 4-(4-氨基苯基)苯甲腈;4-氨基-4''-二苯基氰;4-氨基-4''-氰基联苯;4''-氨基联苯-4-甲腈;4’-氨基-4-氰基联苯;
英文名称 4''-Aminobiphenyl-4-carbonitrile
英文别名 4''-AMINO(1,1''-BIPHENYL)-4-CARBONITRILE;4-(4-aminophenyl)benzonitrile;4-Amino-4''-cyanobiphenyl;4''-Amino-[1,1''-biphenyl]-4-carbonitrile;4-Amino-4''-cyanodiphenyl;
CAS号 4854-84-6
合成路线:
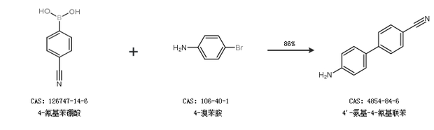
1.通过4-氰基苯硼酸和4-溴苯胺合成4''-氨基-4-氰基联苯,收率约86%;

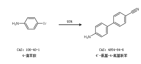
2.通过4-溴苯胺合成4''-氨基-4-氰基联苯,收率约93%;

中华试剂网提醒:合成路线仅供参考