基本信息:
中文名称 海柯吉宁
中文别名 番麻皂素;海柯皂苷元;(3β,5α,25R)-3-羟基螺甾(烷)-12-酮;(25R)-5α-螺甾(烷)-3β-醇-12-酮;蕃麻皂甙元;
英文名称 Hecogenin
英文别名 (25R)-3b-Hydroxy-5a-spirostan-12-one;(25R)-5-Spirostan-3-ol-12-one;(3,5,25R)-3-Hydroxysiprostan-1;(3,5,25R)-3-Hydroxysiprostan-12-one;3-b-Hydroxy-5-a-spirostan-12-one;Hocogenin;12-Oxotigogenin;5ALPHA-SPIROSTAN-3BETA-OL-12-ONE;Hecoginin;
CAS号 467-55-0
合成路线:
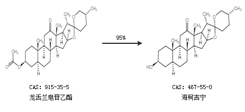
1.通过龙舌兰皂苷乙酯合成海柯吉宁,收率约95%;

合成路线仅供参考