基本信息:
中文名称 2,6-二氯苯并噻唑
中文别名 2,6-二氯苯并[d]噻唑;2,6-二氯-1,3-苯并噻唑;2,5-双(1,1-二甲基丙基)-1,4-苯二醇;2,6-二氯苯并三唑;
英文名称 2,6-Dichlorobenzothiazole
英文别名 2,6-Dichloro-1,3-benzothiazole;2,6-dichloro-1,3-benzothiazole;
CAS号 3622-23-9
合成路线:
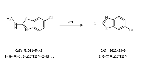
1.通过1-(6-氯-1,3-苯并噻唑-2-基)肼合成2,6-二氯苯并噻唑,收率约95%;

2.通过2-氨基-6-氯苯并噻唑合成2,6-二氯苯并噻唑

合成路线仅供参考