基本信息:
中文名称 2,5-二溴-3-甲基吡啶
中文别名 3-甲基-2,5-二溴吡啶;2,5-二溴-3-甲基嘧啶;
英文名称 2,5-Dibromo-3-methylpyridine
英文别名 2,5-dibromo-3-methyl-pyridine;2,5-Dibromo-3-methylpyridin;2,5-dibrom-3-methylpyridin;2,5-Dibromo-3-picoline;5-bromo-3-methylpyridin-2-amine;2,5-DibroMo-3-Methylpyridine;
CAS号 3430-18-0
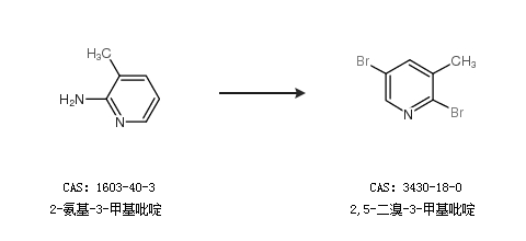
合成路线:
1.通过2-氨基-3-甲基-5-溴吡啶合成2,5-二溴-3-甲基吡啶,收率约96%;

2.通过2-氨基-3-甲基吡啶合成2,5-二溴-3-甲基吡啶

中华试剂网提醒 合成路线仅供参考