基本信息:
中文名称 十八氟十氢萘
中文别名 全氟(十氢化萘);全氟嘌呤;全氟(十氢化萘),CIS + TRANS;
英文名称 perfluorodecalin
英文别名 Octadecafluorodecahydronaphthalene;PERFLUORODECALINE;perflunafene;Octadecafluorodecaline;perfluorodecahydronaphthalene;1,1,2,2,3,3,4,4,4a,5,5,6,6,7,7,8,8,8a-octadecafluorodecalin;PP 5;OCTADECAFLUORODECALIN;F-DC;PERFLUORODECALIN;pfd;Perfluoro(decahydronaphthalene);perfluorodecahydronaphthalin;
CAS号 306-94-5
合成路线:
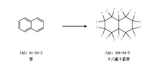
1.通过萘合成十八氟十氢萘

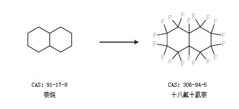
2.通过萘烷合成十八氟十氢萘

合成路线仅供参考