基本信息:
中文名称 6-氨基-3-甲基嘌呤
中文别名 3-甲基腺嘌呤;3-甲基腺嘌呤;3-甲基腺素;1,10-菲罗啉(无水);邻二氮杂菲;2,9-二甲基啉菲罗啉,新铜试剂;3-甲基-3H-嘌呤-6-胺;
英文名称 3-methyladenine
英文别名 6-Amino-3-methylpurine;3-Methyl-3H-purin-6-amine;3-methylpurin-6-amine;3-methyl-3H-purin-6-amine;3-Methyladenine;3-MA,6-Amino-3-methylpurine;
CAS号 5142-23-4
合成路线:
1.通过腺嘌呤-7-氧化物合成6-氨基-3-甲基嘌呤

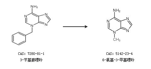
2.通过3-苄基腺嘌呤合成6-氨基-3-甲基嘌呤

合成路线仅供参考