基本信息:
中文名称 N-Cbz-DL-天冬氨酸
中文别名 N-苄氧羰基-DL-天冬氨酸;
英文名称 2-(phenylmethoxycarbonylamino)butanedioic acid
英文别名 N-Cbz-DL-aspartic Acid;Carbobenzoxy-L-aspartic acid;CBz-aspartic acid;Cbz-DL-aspartic acid;N-Carbobenzoxy-DL-aspartic Acid;
CAS号 4515-21-3
合成路线:
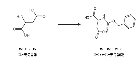
1.通过氯甲酸苄酯和DL-天冬氨酸合成N-Cbz-DL-天冬氨酸,收率约70%;

2.通过DL-天冬氨酸合成N-Cbz-DL-天冬氨酸

中华试剂网提醒:合成路线仅供参考