基本信息:
中文名称 吡咯烷-2-甲醇
中文别名 2-(羟甲基)吡咯烷;吡啶烷-2-甲醇;DL-脯氨醇;
英文名称 prolinol
英文别名 2-Pyrrolidinemethanol;pyrrolidine-2-methanol;2-Pyrrolidinylmethanol;Prolinol;2-pyrrolidinemethanol;Pyrrolidin-2-ylmethanol;2-(Hydroxymethyl)pyrrolidine;pyrrolidin-2-ylmethanol;rac-Prolinol;Pyrrolidin-2-yl-methanol;DL-Prolinol;
CAS号 498-63-5
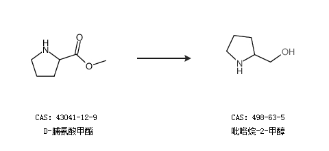
合成路线:
1.通过DL-脯氨酸合成吡咯烷-2-甲醇,收率约97%;

2.通过D-脯氨酸甲酯合成吡咯烷-2-甲醇

合成路线仅供参考