基本信息:
中文名称 3,7-二氢-3-甲基-1H-嘌呤-2,6-二酮
中文别名 2,6-二羟基-3-甲基嘌呤;3-甲基黄嘌呤;
英文名称 3-methyl-7H-xanthine
英文别名 3-METHYL XANTHINE;3-Methyl-1H-purine-2,6(3H,7H)-dione;3-METHYL-2,3,6,9-TETRAHYDRO-1H-PURINE-2,6-DIONE;3,7-DIHYDRO-3-METHYL-1H-PURINE-2,6-DIONE;3-methyl-7H-purine-2,6-dione;2,6-Dihydroxy-3-methylpurine;3,7-dihydro-3-methyl-1h-purine-6-dione;1H-PURINE-2,6-DIONE,3,9-DIHYDRO-3-METHYL-;3-Methylxanthine;
CAS号 1076-22-8
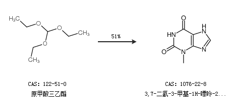
合成路线:
1.通过甲酸和5,6-二氨基-1-甲基尿嘧啶合成3,7-二氢-3-甲基-1H-嘌呤-2,6-二酮,收率约78%;

2.通过原甲酸三乙酯合成3,7-二氢-3-甲基-1H-嘌呤-2,6-二酮,收率约51%;

中华试剂网提醒:合成路线仅供参考