基本信息:
中文名称 4,5-二甲基噻唑
英文名称 4,5-dimethyl-1,3-thiazole
英文别名 Thiazole,4,5-dimethyl;4,5-DiMethylthiazole;4,5-DIMETHYLTHIAZOLE;EINECS 222-703-3;FEMA No. 3274;4,5-Dimethyl-thiazol;
CAS号 3581-91-7
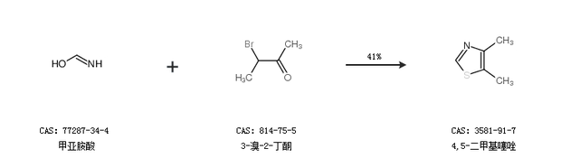
合成路线:
1.通过甲亚胺酸和3-溴-2-丁酮合成4,5-二甲基噻唑,收率约41%;

2.通过2-氨基-4,5-二甲基噻唑合成4,5-二甲基噻唑,收率约84%;

中华试剂网提醒:合成路线仅供参考