基本信息:
中文名称 2,3,7,8,12,13,17,18-八乙基-21H,23H-卟吩
中文别名 八乙基卟吩;2,3,7,8,12,13,17,18-八乙基卟啉;
英文名称 2,3,7,8,12,13,17,18-octaethyl-21,22-dihydroporphyrin
英文别名 Octaethylporphyrine;2,3,7,8,12,13,17,18-Octaethyl-21H,23H-porphin;Octaethylporphine;2,3,7,8,12,13,17,18-Octaethylporphyrin;2,3,7,8,12,13,17,18-octaethylporphyrin;Octaethylporphyrin;2,3,7,8,12,13,17,18-Octaethyl-21H,23H-porphine;
CAS号 2683-82-1
合成路线:
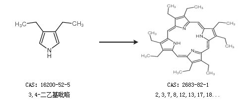
1.通过3,4-二乙基吡咯和甲醛合成2,3,7,8,12,13,17,18-八乙基-21H,23H-卟吩

2.通过3,4-二乙基吡咯合成2,3,7,8,12,13,17,18-八乙基-21H,23H-卟吩

中华试剂网提醒:合成路线仅供参考