基本信息:
中文名称 2,6-二甲基吡嗪
中文别名 2,6-二甲基-1,4-二嗪;
英文名称 2,6-Dimethylpyrazine
英文别名 2,6-DiMepyz;2,6-Dimethyl-1,4-diazine;2,6-Dimethylpiazine;3,5-Dimethylpyrazine;FEMA No. 3273;2,6-Dimethylparadiazine;Pyrazine,2,6-dimethyl;2,6-dimethyl-pyrazine;
CAS号 108-50-9
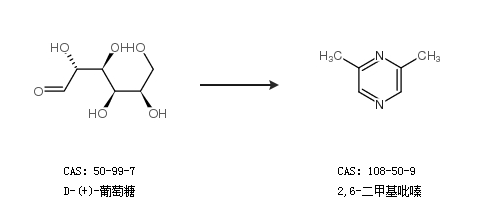
合成路线:
1.通过2,6-二氯吡嗪和甲基氯化镁合成2,6-二甲基吡嗪,收率约49%;

2.通过D-(+)-葡萄糖合成2,6-二甲基吡嗪

中华试剂网提醒:合成路线仅供参考