基本信息:
中文名称 蔗糖
中文别名 蔗糖丁烯酯;白砂糖;砂糖;β-D-呋喃果糖基-α-D-吡喃葡萄苷;D-(+)-蔗糖;α-D-Glc-(1→2)-β-D-Fru;
英文名称 sucrose
英文别名 Surose;D(+)-Sucrose;Microse;Sugartab;amerfand;SUCROSE;Amerfond;SUGAR;Micr;sugar powder;GNE 410;SACCHARUM;
CAS号 57-50-1
合成路线:
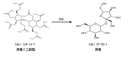
1.通过蔗糖八乙酸酯合成蔗糖,收率约90%;

2.通过2,3,4,6-四-o-苄基-D-吡喃葡萄糖合成蔗糖

合成路线仅供参考