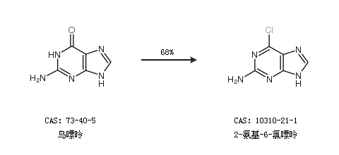
2-氨基-6-氯嘌呤
CasNo:10310-21-1
MDL:MFCD00075252
分子式:C5H4ClN5
分子量:169.57
所有产品仅用作科学研究和企业生产,我们不为任何个人用途提供产品和服务
收起

| |
品牌 |
货号 |
品名 |
规格纯度 |
包装 |
库存 |
牌价含税 |
成交价 |
购买量 |
操作 |
点击加载更多
加载完成
声明
1、因厂家会在没有任何提前通知的情况下更改产品价格、包装、产地或者一些附件,若出现价格异常请以厂家官网价格为准,本司不能确保客户收到的货物与商城图片、产地、附件说明完全一致,只能确保为原厂正货!并且保证与当时市场上同样主流新品一致。若本商城没有及时更新,请大家谅解!
2、商品信息标注“一般危化品”“危化”的商品,如需购买需提供一般危化品购买资质。
3、仅可用于工业或者科研等非医疗目的。买卖双方确认:依照中国法律法规之规定,本网站销售的所有产品仅用于工业应用或者科学研究等非医疗目的,不可用于人类或动物的临床诊断或治疗,非药用,非食用。我们特此明示提醒:您应严格恪守上述规定,不得超越正常的科研或教学目的而违规使用产品,否则由此造成的一切后果均应由您承担;若我们因此遭受任何损失的,您也应负责对我们做出赔偿。
我要委托采购
10310-21-1 产品
用户需要登录成功才能进行委托采购!
牌试剂可在下方直接购买,如需大包装可发起委托采购。
CAS:10310-21-1
中文名:2-氨基-6-氯嘌呤
英文名:2-Amino-6-chloropurine
中文别名:
2-氨基-6-氯嘌呤
6-氯鸟嘌呤
英文别名:
2-Amino-6-chloropurine
6-Chloroguanine
性质:
白色或淡黄色粉末。
熔点:> 300°C
储存:
安全术语:S22- S24/25-
风险术语:
危险品标志:
危险品运输编号: