你好,欢迎来到中华试剂网 购试剂 买耗材! [请登录][注册有惊喜]

货号快速下单 | 签到送积分   | 会员中心 | 客服热线:400-021-2765

2-环己胺基乙磺酸(CHES),103-47-9,结构式

2-环己胺基乙磺酸(CHES)

CasNo:103-47-9 MDL:MFCD00003835 分子式:C8H17NO3S 分子量:207.3

小程序

化学试剂

所有产品仅用作科学研究和企业生产,我们不为任何个人用途提供产品和服务
收起
  品牌 货号 品名 规格纯度 包装 库存 牌价含税 成交价 购买量 操作
loading
点击加载更多
加载完成
声明
1、因厂家会在没有任何提前通知的情况下更改产品价格、包装、产地或者一些附件,若出现价格异常请以厂家官网价格为准,本司不能确保客户收到的货物与商城图片、产地、附件说明完全一致,只能确保为原厂正货!并且保证与当时市场上同样主流新品一致。若本商城没有及时更新,请大家谅解!
2、商品信息标注“一般危化品”“危化”的商品,如需购买需提供一般危化品购买资质。
3、仅可用于工业或者科研等非医疗目的。买卖双方确认:依照中国法律法规之规定,本网站销售的所有产品仅用于工业应用或者科学研究等非医疗目的,不可用于人类或动物的临床诊断或治疗,非药用,非食用。我们特此明示提醒:您应严格恪守上述规定,不得超越正常的科研或教学目的而违规使用产品,否则由此造成的一切后果均应由您承担;若我们因此遭受任何损失的,您也应负责对我们做出赔偿。
我要委托采购 103-47-9 产品

用户需要登录成功才能进行委托采购!
牌试剂可在下方直接购买,如需大包装可发起委托采购。

*收货区域
*发票类型
*需求量1
*需求量2
备注

基本信息物化性质安全数据

CAS:103-47-9
中文名:2-环己胺基乙磺酸(CHES)
英文名:CHES
中文别名:
2-环己胺基乙磺酸(CHES)
2-(N-环己氨基)乙磺酸,N-环己基-2-氨基乙磺酸
英文别名:
CHES
2-(Cyclohexylamino)ethanesulfonic acid
N-Cyclohexyl-2-aminoethanesulfonic acid
N-Cyclohexyltaurine

技术问答

2-环己胺基乙磺酸是什么,有什么用途啊?匿名 2021-04-23 08:54
描述:2-环己胺基乙磺酸的物化性质是什么,有什么用途啊?
基本信息:
中文名称 2-环己胺基乙磺酸
中文别名 2-(环己胺)乙磺酸;CHES;2-环己氨乙烷磺酸;N-环已基-2-氨基乙磺酸;2-(N-环己氨基)乙磺酸;N-环已基-2-氨基乙磺酸;2-(N-环已氨基)乙磺酸;2-(环己氨基)乙磺酸;2-环已胺基乙磺酸(CHES);
英文名称 N-Cyclohexyltaurine
英文别名 2-(Cyclohexylamino)ethanesulfonic acid;2-(cyclohexylamino)ethanesulfonic acid;2-Cyclohexylaminoethanesulfonic Acid [Good''s buffer component;2-Cyclohexylaminoethanesulfonic acid;
CAS号 103-47-9
分子式 C8H17NO3S
分子量 207.29000

物化性质:
外观性状 白色结晶粉末
折射率 1.4903 (23.8ºC)
熔点 ≥300 °C
密度 1.23g/cm3
水溶解性 Soluble

2-环己胺基乙磺酸的用途:

用作合成树脂、硝基喷漆、着色剂、印刷油墨等的高沸点溶剂,皮革鞣制剂,橡胶硫化促进剂以及杀虫剂、药物原料。

展开
2-环己胺基乙磺酸是怎样生产的?匿名 2021-04-23 08:54
描述:2-环己胺基乙磺酸的生产方法是什么?
基本信息:
中文名称 2-环己胺基乙磺酸
中文别名 2-(环己胺)乙磺酸;CHES;2-环己氨乙烷磺酸;N-环已基-2-氨基乙磺酸;2-(N-环己氨基)乙磺酸;N-环已基-2-氨基乙磺酸;2-(N-环已氨基)乙磺酸;2-(环己氨基)乙磺酸;2-环已胺基乙磺酸(CHES);
英文名称 N-Cyclohexyltaurine
英文别名 2-(Cyclohexylamino)ethanesulfonic acid;2-(cyclohexylamino)ethanesulfonic acid;2-Cyclohexylaminoethanesulfonic Acid [Good''s buffer component;2-Cyclohexylaminoethanesulfonic acid;
CAS号 103-47-9
分子式 C8H17NO3S
分子量 207.29000

生产方法:

由2,5-二甲基呋喃水解而得。另一个合成方法是乙酰乙酸乙酯钠与纯碘反应生成二乙酰琥珀酸二乙酯,再将其与10%氢氧化钠溶液进行水解。用无水碳酸钾使反应液饱和,析出丙酮基丙酮。用乙醚提取,从提取液蒸去乙醚后,蒸馏剩余物,收集192-194℃馏分得无色产品。

展开
2-环己胺基乙磺酸的合成路线匿名 2021-04-23 08:54
描述:2-环己胺基乙磺酸有什么方法可以合成?
基本信息:
中文名称 2-环己胺基乙磺酸
中文别名 2-(环己胺)乙磺酸;CHES;2-环己氨乙烷磺酸;N-环已基-2-氨基乙磺酸;2-(N-环己氨基)乙磺酸;N-环已基-2-氨基乙磺酸;2-(N-环已氨基)乙磺酸;2-(环己氨基)乙磺酸;2-环已胺基乙磺酸(CHES);
英文名称 N-Cyclohexyltaurine
英文别名 2-(Cyclohexylamino)ethanesulfonic acid;2-(cyclohexylamino)ethanesulfonic acid;2-Cyclohexylaminoethanesulfonic Acid [Good''s buffer component;2-Cyclohexylaminoethanesulfonic acid;
CAS号 103-47-9

合成路线:
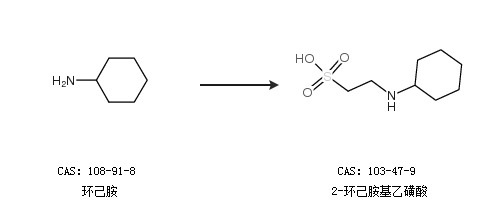
1.通过环己胺合成2-环己胺基乙磺酸


中华试剂网提醒:合成路线仅供参考
展开
2-环己胺基乙磺酸 熔点是多少匿名 2021-04-14 15:18
描述:2-环己胺基乙磺酸 熔点是多少
2-环己胺基乙磺酸的熔点是 ≥300 °C
展开
2-环己胺基乙磺酸的储存条件匿名 2021-03-08 13:05
描述:2-环己胺基乙磺酸如何长期储存?
室温
展开

原料询价

询单已收到,专属客服稍后会联系您!

您还可以登录后台“查看询单

此商品已成功添加到购物车
此商品已成功添加到购物车!