基本信息:
中文名称 3-氯丙基三甲氧基硅烷
中文别名 (3-氯丙基)三甲氧基硅烷;3-氯丙基三甲氧硅烷;氯丙基三甲氧基硅烷;γ-氯丙基三甲氧基硅烷;
英文名称 3-chloropropyl(trimethoxy)silane
英文别名 3-Trimethoxysilylpropyl Chloride;Sila-Ace S 620;(3-Chloropropyl)trimethoxysilan;trismethoxysilyl-3-chloropropane;3-trimethoxysilylpropylchloride;3-Chloropropyltrimethyoxysilane;A 143;(3-Chloropropyl)Trimethoxysilane;CPS-M;3-chloro-n-propyl-trimethoxysilane;
CAS号 2530-87-2
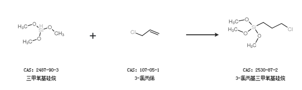
合成路线:
1.通过3-氯丙烯合成3-氯丙基三甲氧基硅烷

2.通过三甲氧基硅烷和3-氯丙烯合成3-氯丙基三甲氧基硅烷

合成路线仅供参考