基本信息:
中文名称 CBZ-L-缬氨酸
中文别名 N-羰苄氧基-L-缬氨酸;N-苄氧基羰基-L-缬氨酸;N-Cbz-L-缬氨酸;N-苄氧羰基-L-缬氨酸;Z-L-缬氨酸;Cbz-L-缬氨酸;Z-缬氨酸;N-苄氧羰酰基-L-缬氨酸;苯甲氧羰基-L-缬氨酸;羰苄氧基-L-缬氨酸;
英文名称 N-Carbobenzyloxy-L-valine
英文别名 N-CBZ-L-Valine;N-Carbobenzoxy-L-valine;Carbobenzyloxy-L-valine;(2S)-3-methyl-2-(phenylmethoxycarbonylamino)butanoic acid;
CAS号 1149-26-4
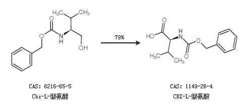
合成路线:
1.通过L-缬氨酸和氯甲酸苄酯合成CBZ-L-缬氨酸,收率约99%;

2.通过Cbz-L-缬氨醇合成CBZ-L-缬氨酸,收率约79%;

合成路线仅供参考