基本信息:
中文名称 N-Boc-L-缬氨醇
中文别名 N-(叔丁氧基羰基)-L-缬氨醇;叔丁氧羰酰基缬氨醇;Boc-L-缬氨醇;N-叔丁氧羰基-L-缬氨醇;R-BOC-2-氨基-1,2-二苯基-1-丙醇;N-BOC-L-缬氨醇;
英文名称 N-BOC-L-Valinol
英文别名 tert-butyl N-[(2S)-1-hydroxy-3-methylbutan-2-yl]carbamate;
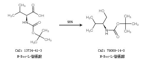
CAS号 79069-14-0
合成路线:
1.通过N-(叔丁氧基羰基)-L-缬氨酸甲酯合成N-Boc-L-缬氨醇,收率约91%;

2.通过N-Boc-L-缬氨酸合成N-Boc-L-缬氨醇,收率约98%;

中华试剂网提醒:合成路线仅供参考