基本信息:
中文名称 N-苄氧羰基-L-酪氨酸
中文别名 Z-L-酪氨酸;N-CBZ-L-酪氨酸;苄氧羰基-L-酪氨酸;(S)-N-(苄氧甲酰基)酪氨酸;CBZ-L-酪氨酸/2-{[(苄氧基)羰基]氨基-3-(4-羟基苯基)丙酸;CBZ-L-酪氨酸;N-Cbz-L-酪氨酸;
英文名称 Z-TYR-OH
英文别名 Z-Tyr-OH315.36;Z-L-TYROSINE;(S)-2-(((Benzyloxy)carbonyl)amino)-3-(4-hydroxyphenyl)propanoic acid;N-Benzyloxycarbonyl-L-tyrosine;CBZ-L-TYROSINE;Z-TYROSINE;N-Carbobenzoxy-L-tyrosine;N-Cbz-L-TyrOH;N-Carbobenzyloxy-L-tyrosine;N-benzyloxycarbonyl-L-tyrosine;CBZ-L-Tyrosine-OH;CBZ-L-TYR-OH;Z-TYR-OH.H2O;N-Carbobenzyloxy-L-tyrosine,Z-L-Tyrosine;N-CBZ-L-TYROSINE;N-Cbz-L-tyrosine;
CAS号 1164-16-5
合成路线:
1.通过L-酪氨酸和氯甲酸苄酯合成N-苄氧羰基-L-酪氨酸,收率约97%;

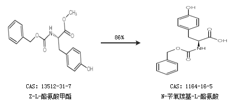
2.通过Z-L-酪氨酸甲酯合成N-苄氧羰基-L-酪氨酸,收率约86%;

合成路线仅供参考