基本信息:
中文名称 三(4-溴苯基)胺
中文别名 三 (4-溴苯基) 胺;三(4-溴苯)胺;
英文名称 Tris(4-bromophenyl)amine
英文别名 N,N-Bis(4-bromophenyl)-4-bromoaniline;4,4'',4''''-tris(4-bromophenyl)amine;4-bromo-N,N-bis(4-bromophenyl)aniline;Tris(4-broMophenyl)aMine;4,4'',4''''-Nitrilotris(1-bromobenzene);4-broManyl-N,N-bis(4-broMophenyl)aniline;tris(p-bromophenyl)amine;TRI(4-BROMOPHENYL)AMINE;TRIS(4-BROMOPHENYL)AMIN;4,4'',4''-tribromotriphenylamine;
CAS号 4316-58-9
合成路线:
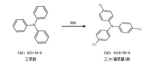
1.通过三苯胺合成三(4-溴苯基)胺,收率约99%;

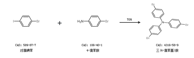
2.通过对溴碘苯和4-溴苯胺合成三(4-溴苯基)胺,收率约70%;

合成路线仅供参考